隨著時序的推進,高中生活也慢入第二(或一)個禮拜了,快來留下你對高中的想法唄(老師、同學、課業皆可)~~
其實是來救一下她吧!
我們的(?)部落格!
(泣)
這是屬於衛道中學/ 2008級(2008年畢業)/ 國三6班/的天地,歡迎屬於這個天地的同學、家長、老師、朋友來到這裏留下您生活中的點點滴滴。

趕快留言,把你這段日子的心得感想,大聲地說出來吧!
備註:
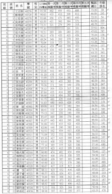
97年第1次基本學力測驗分數於6/5上午八點開放網路查詢服務
6/5 寄發分數通知單
6/6,6/7分數複查及結果通知
6/10~6/11國三申請、甄選入學報名
6/18 申請、甄選入學放榜
6/20 申請、甄選入學報到



直升申請至1月23日中午止,
有資格申請但未領申請表的同學,
若仍有意願直升,為把握時效,
可以先請家長在家中填寫好家長同意書,